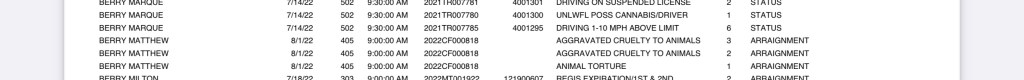
MATHEW BERRY HAS BEEN CRIMINALLY CHARGED FOR TORTURING AND KILLING MY DOG KIRBY ON JUNE 23, 2020 Posted bySarah's StoryJuly 14, 2022Posted inUncategorizedTags:justice Mugshot Arraignment info Share this: Share on X (Opens in new window) X Share on Facebook (Opens in new window) Facebook Like Loading... Published by Sarah's Story Survivor of domestic abuse | KD strong View more posts